コンテンツへスキップ

京都アカデメイア

メニュー
  • 京都アカデメイアについて
    • ご挨拶
    • 団体紹介
    • メンバー
    • FAQ
    • 紹介記事
  • お問い合わせ
  • 入会案内
    • 入会についての説明
    • ML登録
    • 会員登録
    • 退会(休会)
  • 過去の活動
    • 話題の本がわかる!
    • 京アカゼミ
    • 模擬授業
    • アカデメイア・カフェ
    • 批評鍋
    • 特別企画
  • 勉強会
    • 自主ゼミ
    • 読書会
  • 書評・ブックガイド
    • 書評
    • ブックガイド
  • リンク
    • 京都アカデメイア塾
    • 京都アカデメイアブログ
    • 京都アカデメイアFACEBOOK
    • 京都アカデメイアYOUTUBE
    • 京都アカデメイアニコニコ動画
    • 京都アカデメイアInstagram

新着ブログ

読書会

哲学思想系読書会 ポール・リクール『他者のような自己自身』 4/1(水)19:30~開始

こんにちは、正会員の酒井です。 哲学思想系読書会では、これま …

おすすめの本

最近読んだ本(鶴見俊輔・上野千鶴子・小熊英二『戦争が遺したもの』)

鶴見俊輔・上野千鶴子・小熊英二『戦争が遺したもの――鶴見俊輔 …

おすすめの本

最近読んだ本(民藝運動とその周辺)

おひさしぶりです。村田です。最近読んだ本シリーズです。 去年 …

未分類

京アカオンライン輪読会 次はデューイ『学校と社会』を読みます。3月7日(土)20:00~

正会員の舟木です。京アカオンライン輪読会では、3月7日(土) …

未分類

京アカオンライン輪読会 『サムエル記』は終了しました。

『サムエル記』オンライン輪読会は2月21日(土)で終了しまし …

未分類

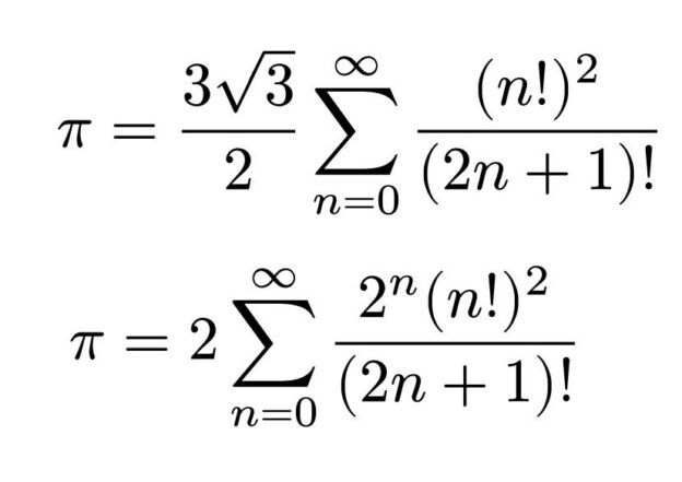
Pythonで数学の世界を冒険だ!

PDFファイル 作成: 藤原大樹 更新: 2026年1月24 …

未分類

京アカオンライン輪読会では、次に旧約聖書『サムエル記』を読みます

京アカオンライン輪読会では、1月24日(土)20:00より、 …

未分類

『古事記』オンライン輪読会は終了しました

『古事記』オンライン輪読会は1月10日で最後まで終わりました …

書評・レビュー

最近読んだ本(陰謀論)

おひさしぶりです。村田です。メリクリです。 「陰謀論」に関す …

未分類

正弦定理と余弦定理は等価である

PDFファイル 作成: 藤原大樹 更新: 2025年12月2 …

投稿ナビゲーション

過去の投稿

twitter

Tweets by kyotoacademeia

RSS 京都アカデメイア blog

  • 哲学思想系読書会 ポール・リクール『他者のような自己自身』 4/1(水)19:30~開始
  • 最近読んだ本(鶴見俊輔・上野千鶴子・小熊英二『戦争が遺したもの』)
  • 最近読んだ本(民藝運動とその周辺)
  • 京アカオンライン輪読会 次はデューイ『学校と社会』を読みます。3月7日(土)20:00~
  • 京アカオンライン輪読会 『サムエル記』は終了しました。
  • Pythonで数学の世界を冒険だ!
  • 京アカオンライン輪読会では、次に旧約聖書『サムエル記』を読みます
  • 『古事記』オンライン輪読会は終了しました
  • 最近読んだ本(陰謀論)
  • 正弦定理と余弦定理は等価である
Copyright © 2026 京都アカデメイア – OnePress theme by FameThemes